La quarta edició de l’Enquesta de Convivència i Relacions Veïnals 2024 (ECAMB 2024) mostra com als barris dels 36 municipis de l’AMB les interaccions més freqüents entre els veins d’ un mateix edifici són de baixa intensitat i com la cordialitat és la norma usual: el 63,8% indica que es saluda amb el veïnat i el 42,6% hi manté converses breus. En un segon nivell, el 16,1% es fa favors i el 8,4% comparteix problemes personals; només el 4,3% fa visites i tan sols el 2,4% realitza activitats de lleure.
Són dades avançades per l’Institut Metròpoli, autor del treball finançat per l’ AMB, en el que hi van participat un total de 3.183 persones entre el 19 d’octubre i el 29 de novembre de 2024. El mateix Institut en destaca els següents elements.
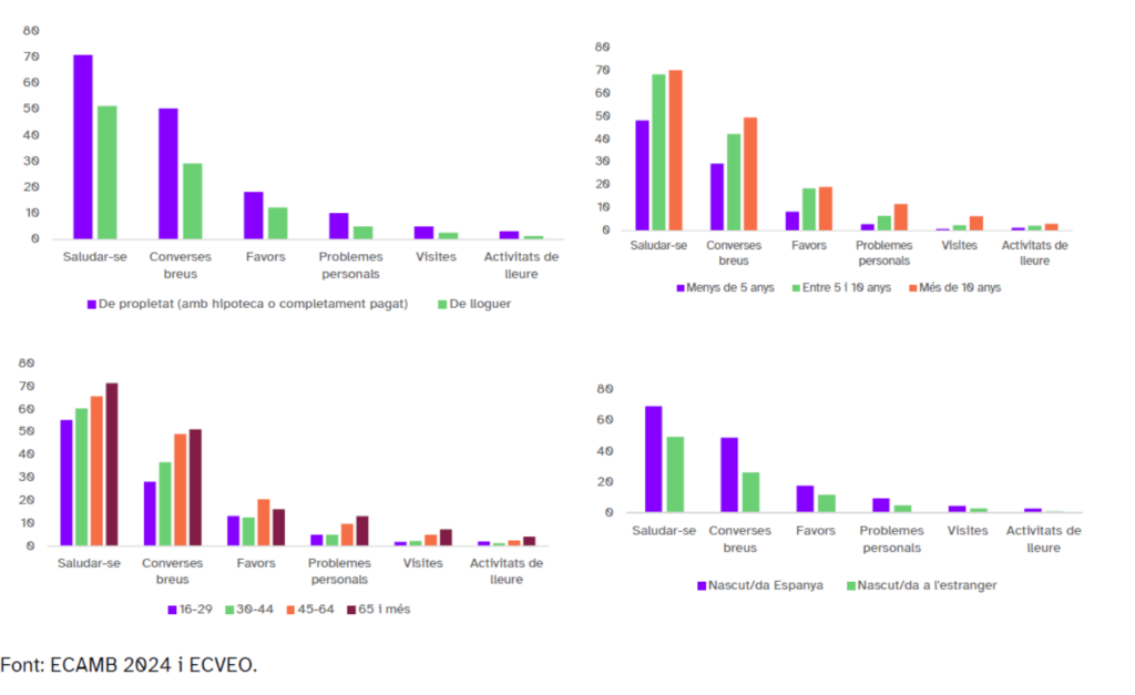
Intensitat de les relacions
Les relacions veïnals tendeixen a ser més intenses entre les persones propietàries, les de trajectòria residencial més llarga al barri i les majors de 45 anys. En canvi, la població jove i les persones nascudes a l’estranger expressen, en termes generals, una menor intensitat relacional.
Freqüència de diferents tipus d’interaccions entre veïns/es del mateix edifici. Percentatge de persones que responen “sovint” segons grandària del municipi, diversitat al barri, règim de tinença, emps de residència, grup d’edat i origen. ÀMB, 2024.

Conflictes poc freqüents
Un 9,6% de la població ha tingut conflictes veïnals durant l’últim any, essent el soroll la causa principal (46,1%), seguit de discussions (14,7%) i brutícia o manteniment d’espais comuns (11,6%). La seva resolució (72,11%) es produeix majoritàriament en l’àmbit informal, entre els mateixos veïns i veïnes, mentre que el recurs als mecanismes institucionals és menys habitual.
Les condicions materials de l’habitatge i de l’edifici influeixen en el volum de conflictivitat, que tendeix a ser més elevat en aquelles persones que resideixen en habitatges de dimensions reduïdes i en edificis amb un estat de conservació deficient.
Entorn equipat, comunicat i segur
La majoria percep el barri com ben comunicat (91,9%) i amb parcs i espais verds (86,2%). Els barris es consideren llocs adequats per a infants (85,1%) i amb bona oferta d’equipaments (76,8%). La seguretat percebuda és elevada (71,4%) però la vitalitat es considera menor (64,0%). L’activitat associativa és el punt més feble, amb un 55,7% d’acord.
Pel que fa als elements que poden limitar la convivència, la majoria ha indicat que les diverses qüestions no són un problema. Tot i això, el 44,5% de la població considera que la brutícia ho és, seguida de la circulació de vehicles (33,3%) i de la manca d’espais per a socialitzar (19,2%).

Espai clau per interactuar
La població utilitza habitualment els carrers, parcs, places i equipaments del barri, però passa el temps de lleure en altres indrets i participa poc en les activitats de les associacions. L’ús dels barris varia significativament en funció de variables contextuals així com d’atributs individuals; en tot cas, les persones que viuen en barris de renda més elevada hi passen més el temps de lleure, però fan menys ús dels seus equipaments.
La participació en activitats de les associacions és més freqüent en municipis més petits (39,7%) i menys habitual en les ciutats més grans (28,2%) i a Barcelona (29,9%). Les dones fan un major ús del barri pel que fa als seus equipaments, el temps de lleure i la participació en activitats associatives. Els nascuts a Espanya també utilitzen més el barri en comparació amb les nascudes a l’estranger.
Les interaccions socials són freqüents –el 76,1% sovint o a vegades es relaciona amb el veïnat, que tendeix a conèixer-se (70,3%)– i existeix una xarxa de proximitat prou sòlida (54,8% viu a prop d’amics i 72,8% de familiars). Les ciutats més grans i els barris diversos presenten més dificultats per establir vincles; i el fet d’haver migrat des d’un altre país ho abona.
Als municipis grans i intermedis hi ha una percepció més elevada de diversitat, tant en el context dels edificis com en el context del barri i en quant a la diversitat d’orígens.
Gràfic 15. Percepció sobre els veïns i veïnes del barri segons grandària del municipi, renda i diversitat del barri (% afirmatiu). Àrea metropolitana de Barcelona, 2024.

Els resultats palesen que si bé tal com s’observava anteriorment la xarxa social és viva, el grau d’implicació comunitària als barris és menor. En concret, el 21,0% indica que en els darrers anys 5 anys s’ha mobilitzat conjuntament el veïnat per tal de solucionar algun problema del barri i el 15,6% ha participat en alguna acció per millorar un espai com un hort urbà, espai autogestionat o equipament.
L’informe conclou que el reforç de la convivència no passa sols per intervenir en les relacions interpersonals, sinó també per millorar l’habitabilitat, reduir les desigualtats urbanes i potenciar la dinamització comunitària que permeti transformar els vincles febles en oportunitats de cohesió social més robusta.
L’11,7% dels joves s’ha sentit sol
L’ECAMB aporta unes primeres informacions que apunten a la rellevància d’analitzar la soledat no desitjada. El 9,8% de la població metropolitana sovint s’ha sentit sola o exclosa en el darrer mes. La sensació de solitud és més alta entre les dones (12,3%) que els homes (6,9%). Si ens fixem en l’edat, el col·lectiu més afectat és el dels joves de 16 a 29 anys. Un 11,7% declara haver sentit soledat. Entre els més grans de 75 anys, el percentatge se situa en l’11,5%.
El mòdul sobre soledat d’aquesta enquesta mostra també que el 40% de població metropolitana disposa d’una xarxa relacional limitada, amb absència o escassetat de persones de confiança amb qui poder comptar en moments de dificultat. A més, un 2,8% diu que s’ha sentit sola o exclosa durant l’últim mes i que no té cap familiar ni amic vivint a prop.
La percepció de la solitud a l’àrea metropolitana de Barcelona

Font: ECAMB 2024
Podeu accedir a l’informe Convivència, relacions veïnals i comunitat als barris metropolitans
